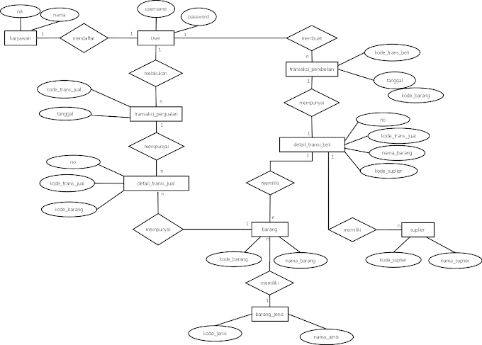
Entity Relationship Diagram ( ERD )
Skema Relasi
Tabel Barang
CREATE TABLE `barang` ( `kode_barang` int(6) NOT NULL AUTO_INCREMENT, `nama_barang` varchar(25) NOT NULL, `kategori` varchar(25) NOT NULL, `harga_beli` int(10) unsigned DEFAULT NULL, `harga_jual` int(11) unsigned DEFAULT NULL, `stok` int(11) DEFAULT NULL, `kode_satuan` varchar(25) NOT NULL, `foto` blob, `status` tinyint(1) DEFAULT '1', `tanggal_update` timestamp NULL DEFAULT CURRENT_TIMESTAMP, PRIMARY KEY (`kode_barang`,`nama_barang`), KEY `barang_ibfk_1` (`kode_satuan`), KEY `barang_ibfk_2` (`kategori`), CONSTRAINT `kategori` FOREIGN KEY (`kategori`) REFERENCES `kategori` (`nama_kategori`) ON UPDATE CASCADE, CONSTRAINT `satuan` FOREIGN KEY (`kode_satuan`) REFERENCES `satuan` (`kode_satuan`) ON UPDATE CASCADE ) ENGINE=InnoDB AUTO_INCREMENT=9 DEFAULT CHARSET=latin1;
Tabel Satuan
CREATE TABLE `satuan` ( `kode_satuan` varchar(25) NOT NULL, `keterangan` varchar(15) NOT NULL, `status` int(11) DEFAULT '1', PRIMARY KEY (`kode_satuan`) ) ENGINE=InnoDB DEFAULT CHARSET=latin1;
Tabel Kategori
CREATE TABLE `kategori` ( `nama_kategori` varchar(25) NOT NULL, `status` int(11) DEFAULT '1', PRIMARY KEY (`nama_kategori`) ) ENGINE=InnoDB DEFAULT CHARSET=latin1;
Tabel Karyawan
CREATE TABLE `karyawan` ( `nik` int(11) NOT NULL AUTO_INCREMENT, `nama` varchar(25) NOT NULL, `jenis_kelamin` varchar(1) NOT NULL, `tempat_lahir` varchar(20) NOT NULL, `tanggal_lahir` date DEFAULT NULL, `alamat` varchar(25) NOT NULL, `no_telepon` varchar(15) DEFAULT NULL, `foto` blob, `tanggal_update` timestamp NULL DEFAULT CURRENT_TIMESTAMP, `status` int(11) DEFAULT '1', PRIMARY KEY (`nik`) ) ENGINE=InnoDB AUTO_INCREMENT=7 DEFAULT CHARSET=latin1;
Tabel Supplier
CREATE TABLE `supplier` ( `kode_supplier` int(11) NOT NULL AUTO_INCREMENT, `nama_supplier` varchar(25) DEFAULT NULL, `alamat` varchar(25) DEFAULT NULL, `telepon` varchar(15) DEFAULT NULL, `email` varchar(20) DEFAULT NULL, `website` varchar(15) DEFAULT NULL, `foto` blob, `status` tinyint(1) DEFAULT '1', `tanggal_update` timestamp NULL DEFAULT CURRENT_TIMESTAMP, PRIMARY KEY (`kode_supplier`) ) ENGINE=InnoDB AUTO_INCREMENT=5 DEFAULT CHARSET=latin1;
Tabel User
CREATE TABLE `user` ( `username` varchar(20) NOT NULL, `password` varchar(20) NOT NULL, `nik` int(11) NOT NULL, `tanggal_update` timestamp NULL DEFAULT CURRENT_TIMESTAMP, `level_user` varchar(10) DEFAULT 'user', `status` int(11) DEFAULT '1', PRIMARY KEY (`username`), UNIQUE KEY `kunci_unik_user` (`username`,`nik`), KEY `user_ibfk_1` (`nik`), CONSTRAINT `user_ibfk_1` FOREIGN KEY (`nik`) REFERENCES `karyawan` (`nik`) ON UPDATE CASCADE ) ENGINE=InnoDB DEFAULT CHARSET=latin1;
Tabel Transaksi Penjualan
CREATE TABLE `trans_jual` ( `kode_trans_jual` int(11) NOT NULL AUTO_INCREMENT, `diskon` float unsigned NOT NULL, `total` float unsigned NOT NULL, `username` varchar(20) DEFAULT NULL, `tanggal_trans_jual` timestamp NULL DEFAULT CURRENT_TIMESTAMP, PRIMARY KEY (`kode_trans_jual`), KEY `trans_jual_ibfk_1` (`username`), CONSTRAINT `trans_jual_ibfk_1` FOREIGN KEY (`username`) REFERENCES `user` (`username`) ON UPDATE CASCADE ) ENGINE=InnoDB AUTO_INCREMENT=5 DEFAULT CHARSET=latin1;
Tabel Detail Transaksi Penjualan
CREATE TABLE `detail_trans_jual` ( `no` int(11) NOT NULL AUTO_INCREMENT, `kode_trans_jual` int(11) NOT NULL, `kode_barang` int(11) NOT NULL, `harga_jual` float unsigned DEFAULT '0', `jumlah` float unsigned DEFAULT '0', `sub_total` float unsigned DEFAULT '0', PRIMARY KEY (`no`), KEY `detail_trans_jual_ibfk_1` (`kode_barang`), KEY `detail_trans_jual_ibfk_2` (`kode_trans_jual`), CONSTRAINT `detail_trans_jual_ibfk_1` FOREIGN KEY (`kode_trans_jual`) REFERENCES `trans_jual` (`kode_trans_jual`) ON UPDATE CASCADE, CONSTRAINT `detail_trans_jual_ibfk_2` FOREIGN KEY (`kode_barang`) REFERENCES `barang` (`kode_barang`) ON UPDATE CASCADE ) ENGINE=InnoDB AUTO_INCREMENT=12 DEFAULT CHARSET=latin1;
Tabel Trasnsaksi Pembelian
CREATE TABLE `trans_beli` ( `kode_trans` varchar(6) NOT NULL, `kode_suplier` varchar(6) DEFAULT NULL, `username` varchar(20) NOT NULL, `total` float unsigned NOT NULL DEFAULT '0', `tanggal_trans_beli` date DEFAULT NULL, `tanggal_update` timestamp NULL DEFAULT CURRENT_TIMESTAMP, PRIMARY KEY (`kode_trans`), KEY `trans_beli_ibfk_1` (`username`), KEY `trans_beli_ibfk_2` (`kode_suplier`), CONSTRAINT `trans_beli_ibfk_1` FOREIGN KEY (`username`) REFERENCES `user` (`username`) ON UPDATE CASCADE, CONSTRAINT `trans_beli_ibfk_2` FOREIGN KEY (`kode_suplier`) REFERENCES `suplier` (`kode_suplier`) ON UPDATE CASCADE ) ENGINE=InnoDB DEFAULT CHARSET=latin1;
Tabel Detail Transaksi Pembelian
CREATE TABLE `detail_trans_beli` ( `no` int(11) NOT NULL AUTO_INCREMENT, `kode_trans_beli` int(11) NOT NULL, `kode_barang` int(11) NOT NULL, `harga_beli` float unsigned DEFAULT '0', `jumlah` float unsigned DEFAULT '0', `sub_total` float unsigned DEFAULT '0', PRIMARY KEY (`no`), KEY `detail_trans_beli_ibfk_2` (`kode_barang`), KEY `detail_trans_beli_ibfk_1` (`kode_trans_beli`), CONSTRAINT `detail_trans_beli_ibfk_1` FOREIGN KEY (`kode_trans_beli`) REFERENCES `trans_beli` (`kode_trans`) ON UPDATE CASCADE, CONSTRAINT `detail_trans_beli_ibfk_2` FOREIGN KEY (`kode_barang`) REFERENCES `barang` (`kode_barang`) ON UPDATE CASCADE ) ENGINE=InnoDB DEFAULT CHARSET=latin1;
Tampilan Aplikasi
Tampilan Hasil Akhir dari Project

















4 Comments
gan ijin sedot tp kga bisa knp gan ?? emang tidak d bagikan kah ??
ReplyDeletegan cara bwt statistik pnjualanx gmn ?
ReplyDeletemas, minta bahan na lg donk, buat tugas kuliah saya
ReplyDeleteni email saya oriearts@gmail.com
terima-kasih
ada file nya ga? biar bisa download + ngulik sendiri aja .. :-d (h)
ReplyDelete